Mortgage calculator

?

?

« Back

238.57 acres, Disgwylfa, West Wales
For Sale - Offers in Region of £2,200,000

A highly desirable organic livestock farm extending to 238.57 acres or 96.55 hectares or thereabouts affording a range of modern and well designed farm buildings and handling facilities which are ideally suited for livestock production. Approached from the roadside via a concrete farm lane which passes the modern farm buildings and leads to the traditionally constructed farm buildings which are in excellent condition and are positioned adjacent to the Grade II listed farmhouse which has been totally transformed into a beautiful residence.

The sale of Disgwylfa offers interested parties, numerous opportunities for diversification, as the attractive traditional farm buildings offer considerable conversion potential subject to gaining the necessary consents. Nicely set away from the farm buildings, the farmhouse enjoys a beautiful countryside aspect incorporating privacy and seclusion. Boasting a wealth of character features the farmhouse is immaculately presented and ready for immediate occupation.

Surrounded by pretty grounds and agricultural land, this well established organic farm is worthy of an early inspection.

The Land
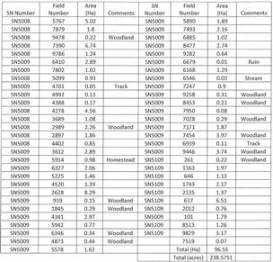
Conveniently located to the homestead the land has been farmed organically for many years and is divided by a minor council maintained roadway and extends in total to 96.55 hectares or 238.57 acres, or thereabouts, which includes 10.14 hectares or 25.05 acres of woodland and 1.22 hectares or 3.01 acres to include the homestead, tracks and streams.

The land offers a combination of level to gently sloping land which is used for both grazing and cropping purposes, and we would advise that there is approximately 210 acres of land suitable for agricultural activity.
We would also advise that the best quality land immediately surrounds the homestead and is also located below the cycle track and is suitable for cropping purposes i.e. silage production. The other land is suitable for grazing with some areas of rougher grazing offering considerable environmental appeal. Very rarely does a large block of organic land appear on the open market which should appeal to those looking for a well established organic farm.

We would advise that no footpaths cross the land.

Services
We understand that the property has the benefit of mains water (supplies the farmhouse and brick barn) and electricity together with a private drainage system (septic tank). The Aga in the kitchen is oil fired and the immersion heater is responsible for heating the hot water. The livestock buildings and fields are supplied by our private spring water supply some of it gravity fed (mainly the lower areas of the Farm), the higher parts of the farm are connected to a electric pressure system housed in the stone barn.

Tenure: Freehold with vacant possession upon completion.

Local Authority: Carmarthenshire County Council.

Property Classification: Band D (online enquiry only).

Entitlements: To be included within the sale of the farm.

Listing: We understand that the property is Grade II Listed.

Asbestos: Please note all asbestos materials have been removed from the property.

Pictures: Drone photography was taken in the summer of 2024.

Pylons: Please note that two towers are located on the land situated the other side of the road to the farmstead

General Remarks
Very rarely do quality livestock farms such as Disgwylfa appear on the open market which offer a large area of land, excellent and well designed livestock buildings and an attractive Grade II listed farmhouse that has been sympathetically restored offering a beautiful family home.

To fully appreciate the agricultural and residential appeal that this desirable livestock farm has to offer an early inspection is strongly recommended.

Disclaimer

Property Ref.CaZcE3r1. The information about this property is an advertisement displayed on our website by the agent referred to above. This advertisement does not comprise property particulars. AMC does not warrant its accuracy or completeness or the accuracy or completeness of any linked or associated information. Please see website terms of use